$
0.00
0
Shop
Shop
Home
/
Shop
/
Biochemical reagent
/ Dermenkephalin
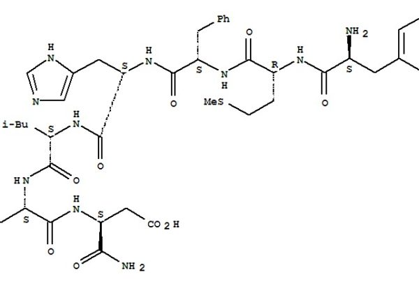
Dermenkephalin
Cas No: 119975-64-3
MDL:
Formula: C44H62N10O10S2
Mol Weight: 955.15
Group: Biochemical reagent
SKU:
SKU129607
.
Category:
Biochemical reagent
Product Price:
Product Name
Product Code
Qualification
Price
Dermenkephalin
RH58425-1mg
≥97% (HPLC)
$76.00